프로그래밍/java 2

Java EE에서 Jakarta EE로의 전환

https://www.samsungsds.com/kr/insights/java_jakarta.html Java EE에서 Jakarta EE로의 전환 Java EE에서 Jakarta EE로의 전환 www.samsungsds.com 자바 기술자라면 Java EE(Java Platform, Enterprise Edition) 또는 J2EE(Java 2 Platform, Enterprise Edition)를 들어봤을 것입니다. 자바를 이용한 서버 개발 플랫폼으로 한 때 엔터프라이즈 자바 기술을 선도하며 막강한 영향력을 발휘했지만 기술 변화와 시장 요구에 제때 대응하지 못하면서 현재는 명맥만 유지하는 암울한 상황에 처해 있습니다. 그럼에도 불구하고 자바EE는 가장 성공적인 상업용 표준 플랫폼의 하나이며 대부분의 ..

JVM GC 동작 순서와 GC 종류(Serial / Parallel / CMS / G1 GC )

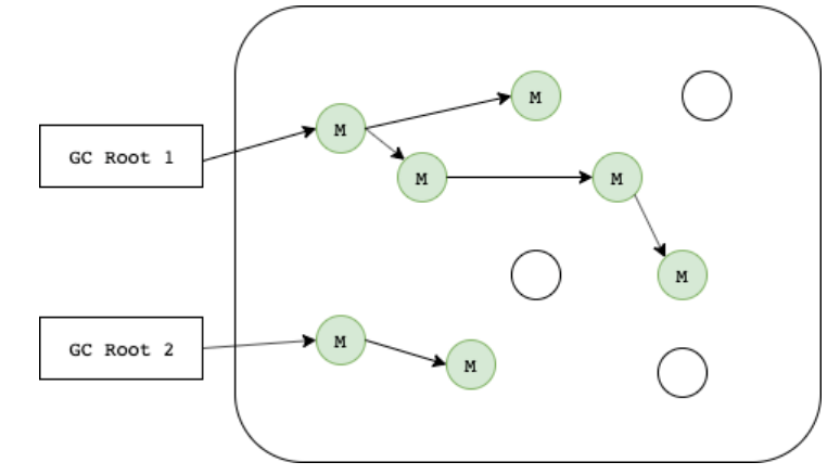
https://memostack.tistory.com/229 JVM GC 동작 순서와 GC 종류(Serial / Parallel / CMS / G1 GC ) JVM GC 동작 순서 요약하면 GC 동작은 아래 3 STEP으로 나눠진다. Heap 영역에 존재하는 객체들에 대해 접근 가능한지 확인한다. GC Root 에서 부터 시작하여 참조값을 따라가며 접근 가능한 객체들에 Ma memostack.tistory.com 1. JVM GC 동작 순서 요약하면 GC 동작은 아래 3 STEP으로 나눠진다. Heap 영역에 존재하는 객체들에 대해 접근 가능한지 확인한다. GC Root에서 부터 시작하여 참조값을 따라가며 접근 가능한 객체들에 Mark하는 과정을 진행한다. Mark 되지 않은 객체 즉, 접근할 수 없는 ..